Estruturas de Dados - T.332
Capítulo 8
Árvores
8.2 Árvores de Busca
8.2.1. Árvores (binárias) de Busca
-
Árvores (binárias) são muito utilizadas para se representar
uma grande conjunto de dados onde se deseja encontrar um elemento de acordo
com a sua chave.
-
Definição: Árvore Binária de Busca (Niklaus
Wirth):
Uma que árvore se encontra organizada de tal forma que, para
cada nodo ti, todas as chaves (info) da subárvore à
esquerda de ti são menores que (ou iguais a) ti
e à direita são maiores que ti.
-
Termo em Inglês: Search Tree
Características de Árvores de Busca
-
Em uma árvore de busca é possível encontrar-se qualquer
chave existente descendo-se a árvore
-
sempre à esquerda toda vez que a chave procurada for menor do que
a chave do nodo visitado e
-
sempre à direita toda vez que for maior.
-
A escolha da direção de busca só
depende da chave que se procura e da chave que o nodo atual possui.
-
A busca de um elemento em uma árvore balanceada
com n elementos toma tempo médio < log(n), tendo a busca então
O(log n).
-
Graças à estrutura de árvore
a busca poderá ser feita com apenas log(n) comparações
de elementos.
Exemplo de Árvore de Busca Binária
Busca em
Árvores
-
Considerando-se a estrutura de ados da aula passada,
temos como algoritmo de busca:
nodo *localize ( chave : info, ptr : *nodo)
início
enquanto (ptr ~= nulo) e (ptr->info ~= chave) faça
se (ptr->info < chave) então
ptr <- ptr->dir;
senão
ptr <- ptr->esq;
fim se
fim enquanto
retorne ptr;
fim localize
Exercício
Construção: Inserção
simples em árvore binária
inserção ( chave : info, ptr : *nodo)
oNovo : *nodo;
início
se (chave < ptr->info) então
se (ptr->esq = nulo) então
oNovo <- aloca novo nodo;
oNovo->info <- chave;
oNovo->esq <- nulo; oNovo->dir <- nulo;
ptr->esq <- oNovo;
senão
se (ptr->dir = nulo) então
oNovo <- aloca novo nodo;
oNovo->info <- chave;
oNovo->esq <- nulo; oNovo->dir <- nulo;
ptr->dir <- oNovo;
senão
inserção ( chave, ptr->dir );
fim se
fim se
fim se
fim inserção
Exercício
Exemplo: Inserção de um elemento
com chave 14
Eliminação em uma árvore de
busca binária
-
A eliminação é mais complexa
do que a inserção
-
A razão básica é que a característica
organizacional da árvore não deve ser quebrada:
-
A subárvore da direita de um nodo não
deve possuir chaves menores do que o pai do nodo eliminado.
-
A subárvore esquerda do nodo eliminado não
deve possuir chaves maiores do que o pai do nodo eliminado.
-
Para garantir isto, o algoritmo de exclusão
deve remanejar os nodos.
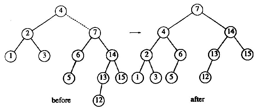
Exemplo: Eliminação do Nodo com Chave 15


Eliminação em uma árvore de
busca binária
-
Se o elemento possuir somente uma subárvore
filha:
-
Podemos simplesmente mover esta subárvore
toda para cima.
-
O único sucessor do nodo a ser excluído
será um dos sucessores diretos do pai do nodo a ser eliminado.
-
Se o nodo a ser excluído é filho
esquerdo de seu pai, o seu filho será o novo filho esquerdo deste
e vice versa.
Exemplo: Eliminação do Elemento com Chave 5


Eliminação em uma árvore de
busca binária
-
Se o elemento possuir duas subárvores filhas:
-
Se o sucessor direito não possui subárvore
esquerda, é ele que ocupa o seu lugar.
-
Se possuir uma subárvore esquerda, a raiz
desta será movida para cima e assim por diante.
-
A estratégia geral (Mark Allen Weiss) é
sempre substituir a chave retirada pela menor chave da subárvore
direita
-
Pode facilmente ser encontrada.
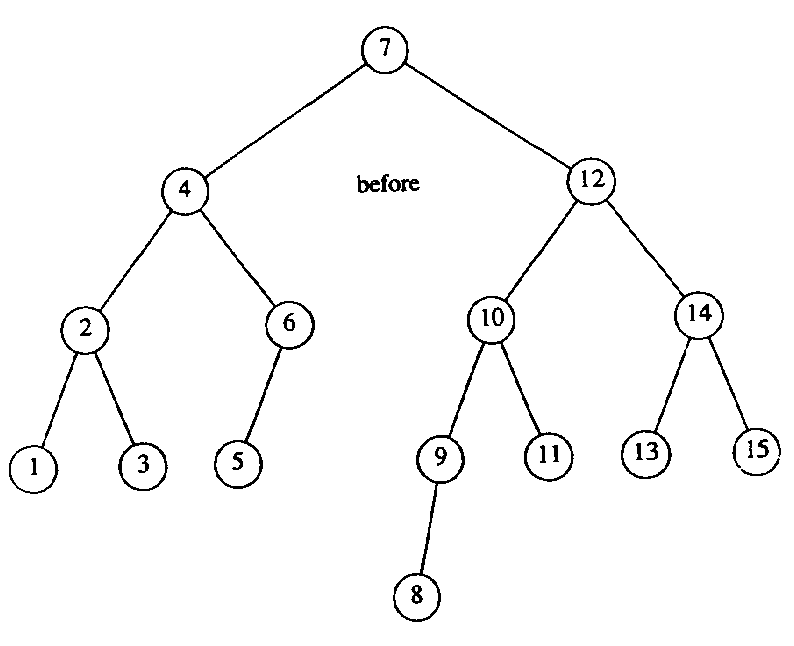
Exemplo: Eliminação do Elemento com Chave 11


Algoritmo de Deleção em Árvore
de Busca Binária
nodo *delete(info: tipo info, arv: *nodo)
início
tmp, filho: *nodo;
se arvore == nulo então
retorne erro;
senão
se (info < arv ->info) // vá a esq.
arv->esq <- delete(info, arv->esq);
retorne arv;
senão
se (info > arv ->info) // vá a dir.
arv->dir <- delete(info, arv->dir);
retorne arv;
senão // encontrei elemento que quero deletar.
se (arv->dir ~= nulo E arv->esq ~= nulo)// 2 fil
tmp <- minimo(arv->dir);
arv->info <- tmp->info;
arv->dir <- delete(arv->info, arv->dir);
retorne arv;
senão // um filho só
tmp <- arv;
se (arv->dir != nulo) então // um filho à dir.
filho <- arv->dir;
retorne filho;
senão
se (arv->esq != nulo) então // filho esq.
filho <- arv->esq;
retorne filho;
senão // folha
libere arv;
retorne nulo;
fim se
fim se
fim se
fim se
fim se
fim se
fim
Exercício
Problemas com Árvores Binárias
-
Deterioração
-
quando inserimos utilizando a inserção
simples, dependendo da distribuição de dados, pode haver
deterioração.
-
Árvores deterioradas perdem a característica
de eficiência de busca.

8.2.2 Árvores AVL
-
Manter uma árvore de busca balanceada
sob a presença de constantes inserções e deleções
é ineficiente.
-
Para contornar este problema foi criada a árvore
AVL (Adelson-Velskii e Landis).
-
A árvore AVL é uma árvore
binária com uma condição de balanço, porém
não completamente balanceada.
-
Árvores AVL permitem inserção/deleção
e rebalanceamento aceitavelmente rápidos.
Árvores AVL
-
Critério de balanceamento: Dado um nodo
qualquer, uma árvore está AVL-balanceada se as alturas das
duas subárvores deste nodo diferem de, no máximo, 1.
-
Para rebalancear uma árvore após
uma inserção, são utilizadas rotações
de subárvores:
-
Rotações simples em muitos casos
-
Rotações duplas em alguns.
-
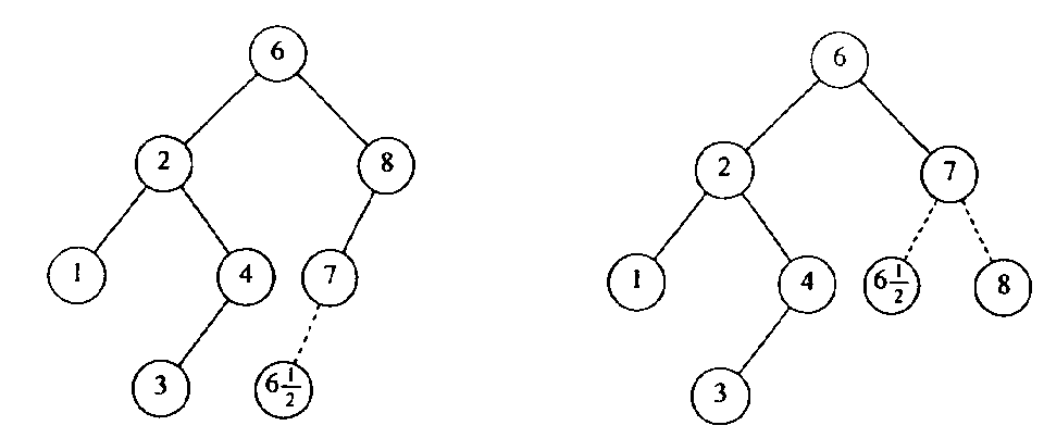
Exemplo de rebalanceamento: O nodo com chave 6.5 desequilibrou a árvore.
Com a rotação da subárvore em torno do nodo 7, rebalanceamos.

Árvores AVL: Inclusão com Rotação
-
Algoritmo básico:
-
Partimos do nodo inserido e subimos a árvore.
-
Atualizamos a informação do balanceamento
em cada nodo (na árvore AVL , cada nodo conhece a sua altura).
-
Se chegamos à raiz sem encontrar nada errado,
terminamos.
-
Caso encontremos um nodo desbalanceado
(corresponde à |Hesq - Hdir| < 2 ferida), realizamos a rotação
no primeiro nodo desbalanceado encontrado.
No exemplo anterior, isto significa que, depois
da inserção de 6.5, o nodo 8 ficou desbalanceado.
Exemplo: Criação
de uma árvore AVL com os nós de 1 a 7
-
O primeiro problema ocorre quando inserimos o
3. A condição-AVL foi violada.
-
Executamos uma rotação simples entre
a raiz (cuja condição-AVL está violada) e seu filho
da direita.
Árvores AVL: Inclusão com Rotação
Simples
-
Inserimos 4 sem problemas.
-
Inserimos 5: violação em 3.
-
Mesmo processo da rotação anterior
será seguido.
-
Importantíssimo: Observe-se que 2 precisa
ser notificado que seu filho agora é o nodo com chave 4
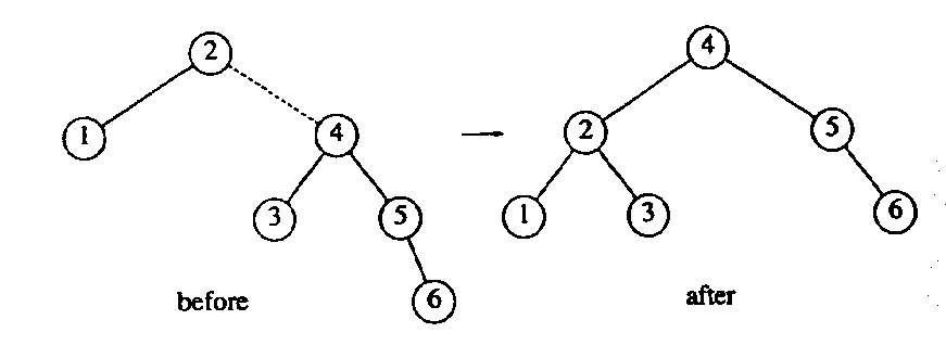
Árvores AVL: Inclusão do 6
-
Subárvore direita tem altura 0
-
Subárvore esquerda tem altura 2.
-
Rotacionamos na raiz entre 2 e 4:
-
Transformamos 2 em filho de 4
-
Subárvore esquerda original de 4 é
agora subárvore direita de 2. Condição de ordem da
árvore de busca é mantida.
Árvores AVL: Inclusão do 7
-
A inclusão de um nodo com chave 7 causa
uma rotação como já havíamos visto antes:
-
5 fica desequilibrado.
-
Rotacionamos em 6.
Árvores AVL: Inclusão com Rotação
Dupla
-
O algoritmo descrito até agora tem um problema:
-
Existem casos onde ele não basta para consertar
a árvore após uma inclusão ou excliusão.
-
Exemplo: Inserimos as chaves 8 a 15, em ordem
inversa, na árvore anterior
-
A inserção de 15 não provoca
problemas, nem desbalanceia a árvore.
-
A inserção de 14, por sua vez, faz
o rebalanceamento falhar.
Árvores AVL: Inclusão com Rotação
Dupla
-
O problema que surge aqui, é que tanto
7 como 14 são candidatos à subárvore esquerda de 15.
-
Neste caso, necessitamos de uma dupla rotação.
Árvores AVL: Inclusão com Rotação
Dupla
-
Semelhante à rotação simples,
só que envolve 4 subárvores:
-
Corresponderia a uma rotação efetuada
primeiro entre k1 e k2 e depois entre k2 e k3.
Árvores AVL: Inclusão com Rotação
Dupla
-
Exemplo simétrico ao anterior
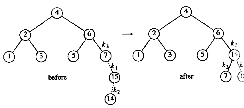
Árvores AVL: Inclusão do 14
com Rotação Dupla
-
No exemplo, a rotação direita-esquerda
envolve o 7, o 15 e o 1:
-
k3 é o nodo de chave 7, k1 o de chave 15
e k2 o de chave 14
-
Primeiro rotacionamos 14-15 a direita, depois
7-14 a esquerda.
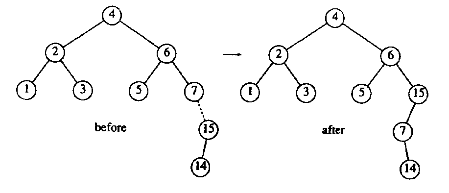
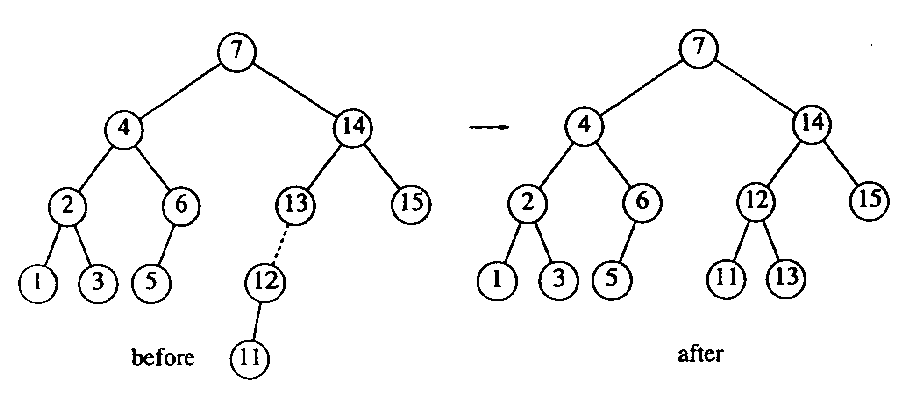
Árvores AVL: Inclusão do 13
(rot.dupla)
-
Novamente uma dupla rotação direita-esquerda:
-
Desta vez a rotação envolverá
6 (k3), 14 (k1) e 7 (k2).
Árvores AVL: Inclusão do 12
-
A inclusão do 12 provoca um desequilíbrio
na raiz:
-
Como 12 não está entre 4 e 7, sabemos
que uma rotação simples vai funcionar.
Árvores AVL: Inclusão do 11
-
A inclusão do 11 provoca um desequilíbrio
logo embaixo:
-
Como 11 não está entre 12 e 13,
sabemos que uma rotação simples vai funcionar.
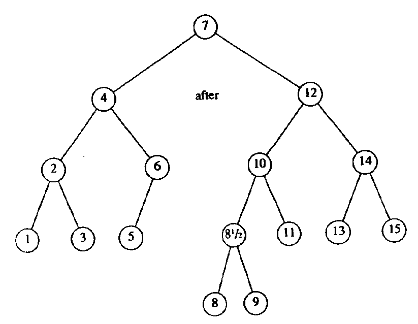
Árvores AVL: Inclusão do 10,9,8
-
10 e 9 serão inseridos com rotação
simples, 8 sem rotação alguma.
-
Tente em casa.
-
A árvore resultante veremos adiante.
Árvores AVL: Inclusão com Rotação
Dupla
-
Interessante é o caso da inserção
de 8.5:
-
Temos uma dupla rotação que parece
ser uma simples: