Crescimento de regiões

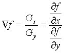
Conceito de gradiente

 

 

 

Aluno: Sylvio Mantelli

sylvio@labsolar.ufsc.br

Prof. Aldo von Wangenhein

  PrimeiroÚltimo Índice

Slide 17 de 21